Ο ΕΟΔΥ σήμερα 25/09 ανακοίνωσε 1.853 νέα κρούσματα.
Από την αρχή της πανδημίας έχουμε στη χώρα μας, 14.655 θανάτους.
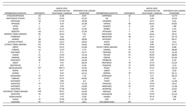
Στην Π.Ε. Ρόδου σήμερα βρέθηκαν 23 νέα κρούσματα. Στην Π.Ε. Κω βρέθηκαν 5 νέα κρούσματα, στην Π.Ε. Καλύμνου 1 νέο κρούσμα και στην Π.Ε. Καρπάθου 1 νέο κρούσμα.
Δείτε τη γεωγραφική κατανομή:





















